• Предмет: Математика
  • Автор: Heyven
  • Вопрос задан 8 лет назад

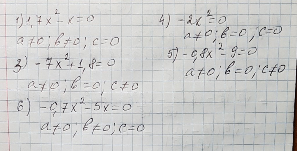
укажите неполное квадратное уравнение и его вид. упражнение 6.4

Приложения:

Ответы

Ответ дал: 1233090
0
решение задания смотри на фотографии
Приложения:
Вас заинтересует