Ответы
Ответ дал:
0
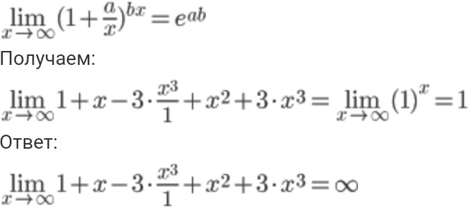
Используя свойства второго замечательного предела:
Приложения:

Вас заинтересует
2 года назад
3 года назад
9 лет назад
9 лет назад
9 лет назад
9 лет назад