• Предмет: Алгебра
  • Автор: svetaabakumova91
  • Вопрос задан 8 лет назад

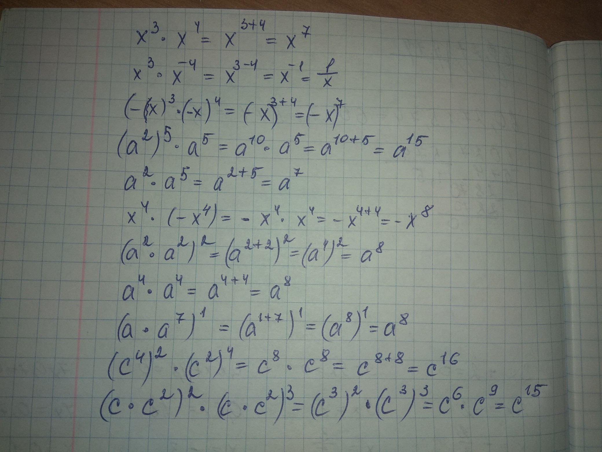
Упростите выражение
Х^3*(х^4)
Х^3*(-х^4)
(-х)^3*(-х^4)
(а^2)^5*а^5
(а^2*а^5)
(х^4)*(-х^4)
(а^2*а^2)^2
а^4*(а^4)
(а*а^7)^1
(с^4)^2*(с^2)^4
(с*с^2)^2*(с*с^2)^3
Срочно пожалуйста

Ответы

Ответ дал: alexandrizmodenov199
0
ответы приведены на фотографии
Приложения:
Вас заинтересует