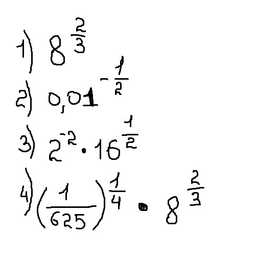
Представьте выражения в виде корня из числа или выражения. 20 б
помогите пожалуйста с объяснением:
Приложения:

Ответы
Ответ дал:
0
Ответ дал:
0
это будет выглядеть так:
Приложения:

Вас заинтересует
2 года назад
3 года назад
3 года назад
9 лет назад