• Предмет: Математика
  • Автор: rsy2hvevecefd
  • Вопрос задан 8 лет назад

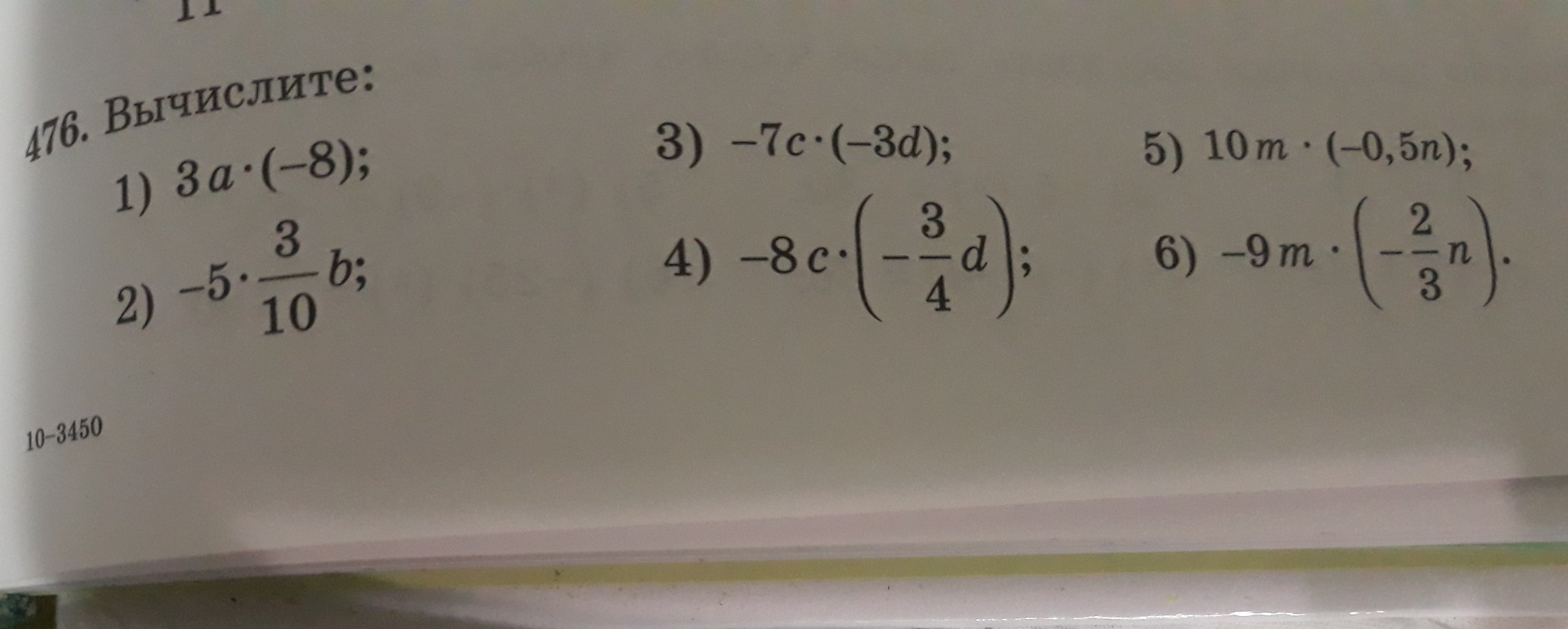
Решите пожалуйста все примеры!476

Приложения:

Ответы

Ответ дал: dashatitova2004
0
  1. -24а
  2. -3/2 b
  3. 21сd
  4. 6сd
  5. -5mn
  6. 6mn
Вас заинтересует