• Предмет: Алгебра
  • Автор: katerinaskornuakova
  • Вопрос задан 8 лет назад

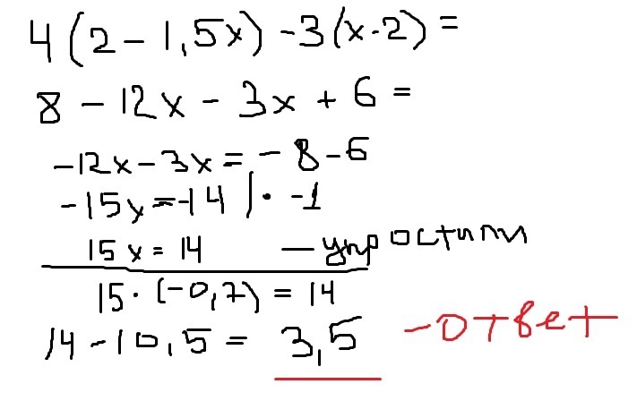
4(2-1,5x)-3(x-2)=?
1)упростить.
2)Найти значение при x=-0,7

Ответы

Ответ дал: Mary1103
0
8-6х-х+6=-9х+14
-6.3+14=7.7
Ответ дал: prettypushkova
0
3 * (-х) = - 3х
Ответ дал: Mary1103
0
ой я не дописала ( но все остальное правильно)
Ответ дал: Olivia2013
0

.......................................................................................

Приложения:
Ответ дал: prettypushkova
0
4 * (-1,5х) = - 6х
Вас заинтересует