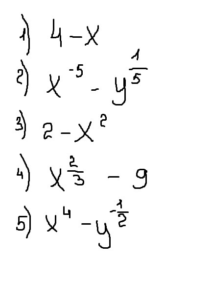
Пользуясь тождеством a^2 - b^2=(a-b)(a+b), разложите на множители выражения:
30 баллов
Приложения:

Ответы
Ответ дал:
0
1) (2-√x)(2+√x)
2)(√1/x^5-y^1/10)(√1/x+y^1/10)- 1/10 получается из того, что кв.корень можно представить как степень 1/2, соответственно 1/2*1/5=1/10.
3)(√2-x)(√2+x)
4)(^4√x^3-3)(^4√x^3+3)
5)(x^2-1/y)(x^2+1/y)
Вас заинтересует
2 года назад
3 года назад
3 года назад