• Предмет: Алгебра
  • Автор: Saule789
  • Вопрос задан 8 лет назад

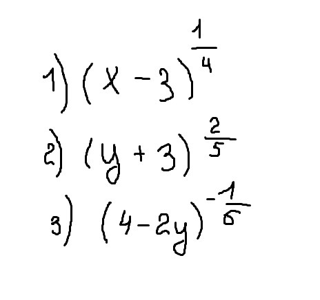
Найдите область определения выражения:
30 б

Приложения:

Ответы

Ответ дал: HelloMyBestFriend
0

1) (x-3)^ frac{1}{4} = sqrt[4]{x-3}

2) (y+3)^{ frac{2}{5} = sqrt[5]{(y+3)}^{2}

3) (4-2y)^{- frac{1}{6} = \ frac{1}{sqrt[6]{4-2y}}

Ответ дал: Saule789
0
мне нужно найти область определения
Ответ дал: Senpoliya
0

1) (x-3)^{frac{1}{4} } =sqrt[4]{x-3} \ \ x-3geq 0\ \ xgeq 3

x ∈ [3; +∞)


2) (y+3)^{}frac{2}{5} =sqrt[5]{(y+3)^{2}}

т.к. квадрат любого числа есть число неотрицательное, то y ∈ (-∞; +∞)


3) (4-2y)^{-frac{1}{6}} =frac{1}{sqrt[6]{4-2y}}  \ \ 4-2y>0\ \ -2y>-4\ \ y<2


y ∈ (-∞; +2)

Вас заинтересует