• Предмет: Математика
  • Автор: sofiyka10
  • Вопрос задан 8 лет назад

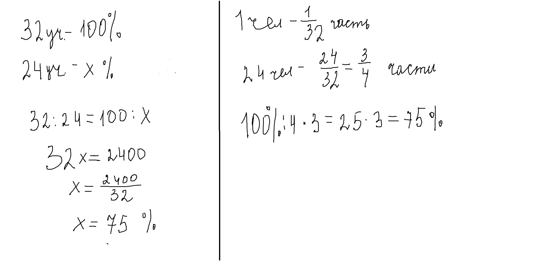
З 32 учнів класу 24 чоловіка займаються в спортивних секціях ? Яка частина учнів займається спортом?Відповідь вирази у процентах.

Ответы

Ответ дал: parus77
0

решение смотри внизу

Приложения:
Вас заинтересует