• Предмет: Алгебра
  • Автор: milashkagy
  • Вопрос задан 8 лет назад

Спасибо за помощь заранее ❤❤❤

Приложения:

Ответы

Ответ дал: appeh
0

(-3а)³b³*(5b)²=-27a³b³*25b²= -675a^4 b^5

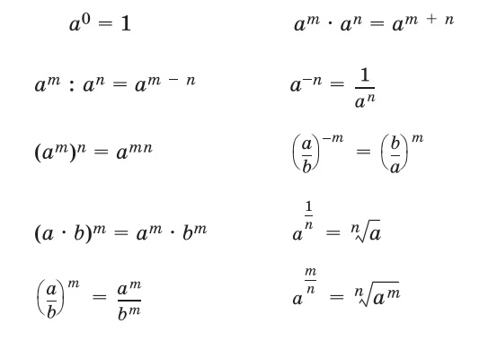
Второе не все видно. Но там свойства возведения в степень (прикреплю к посту)

Приложения:
Вас заинтересует