• Предмет: Алгебра
  • Автор: chhcufcuhf
  • Вопрос задан 8 лет назад

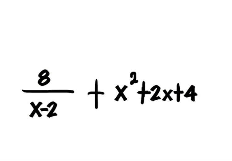
Помогите пожалуйста выполнить действие и если можно на листочке

Приложения:

Ответы

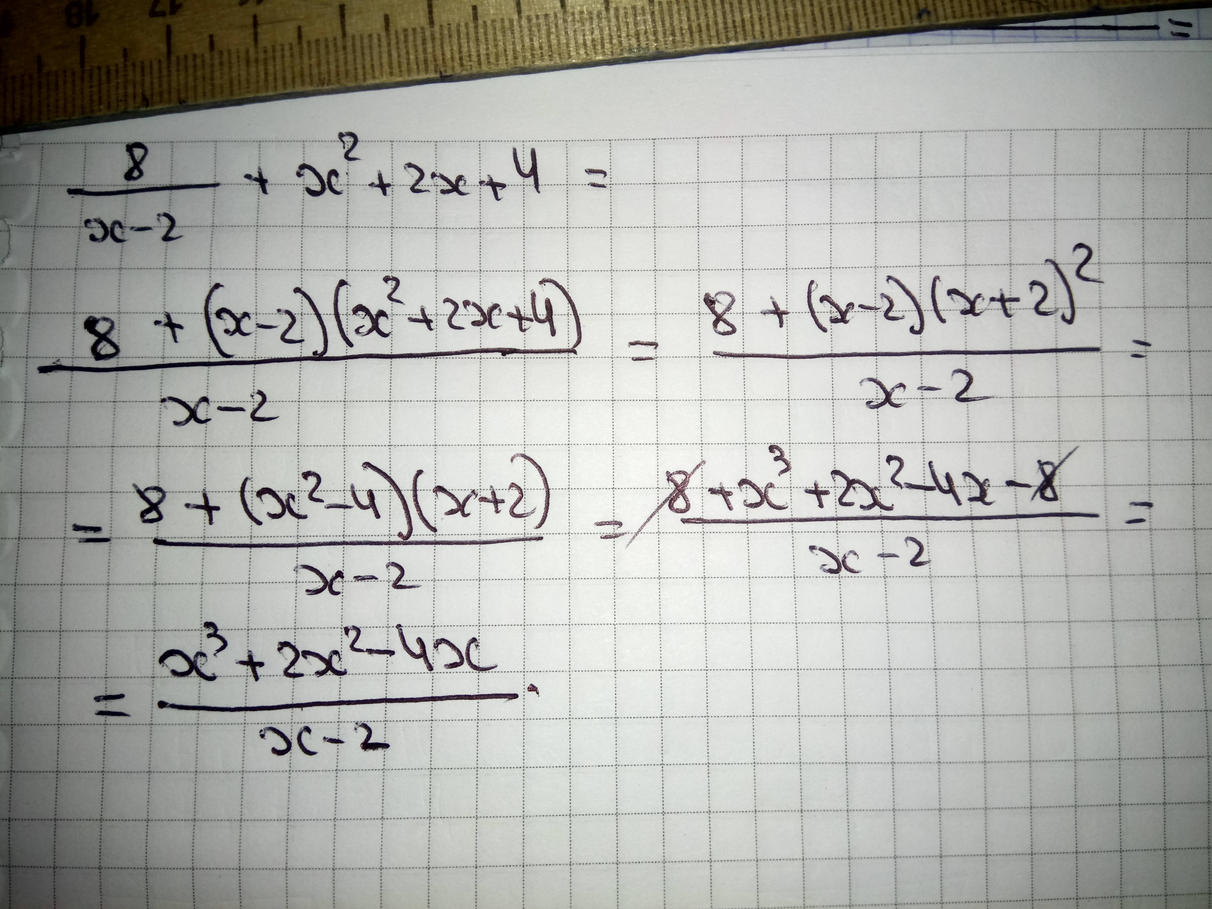
Ответ дал: valenivan
0

Решение задания приложено

Приложения:
Вас заинтересует