Ответы
Ответ дал:
0
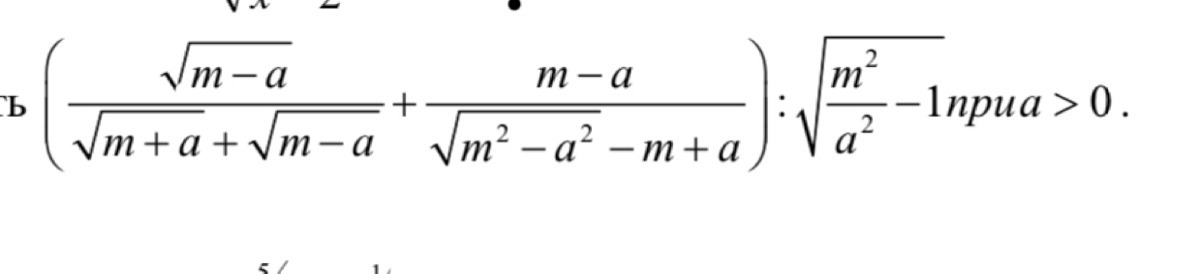
Решение/////////////
Приложения:

Ответ дал:
0
Спасибо!!
Вас заинтересует
2 года назад
3 года назад
3 года назад
9 лет назад
9 лет назад