Ответы
Ответ дал:
0
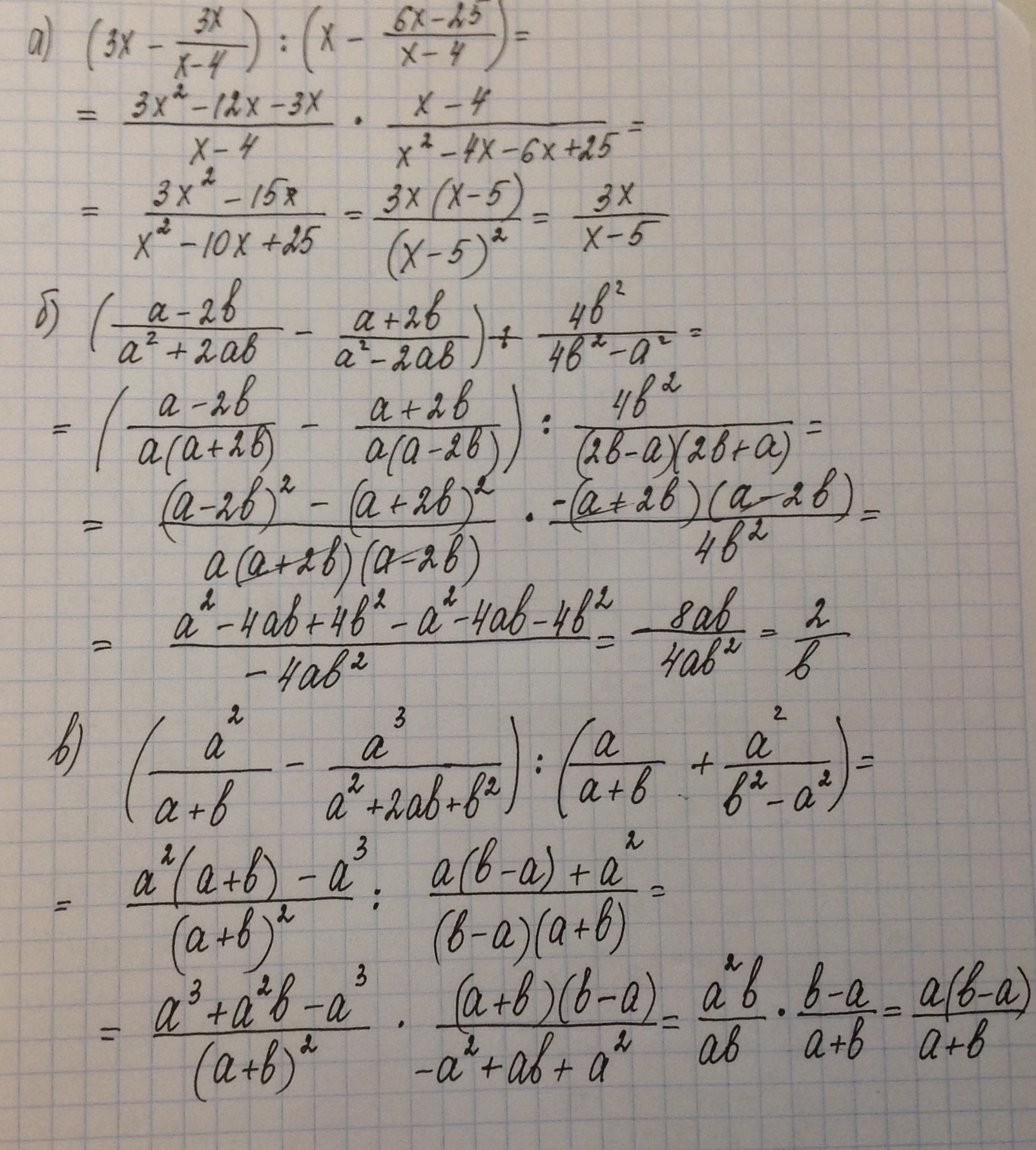
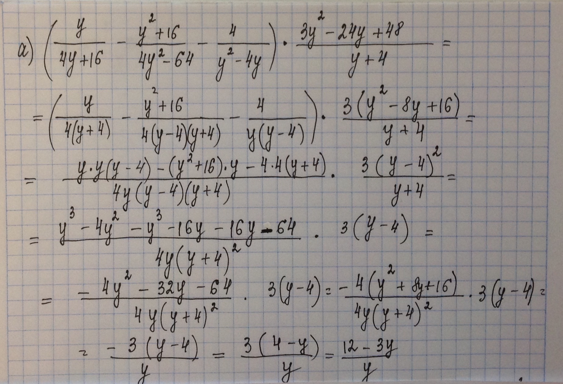
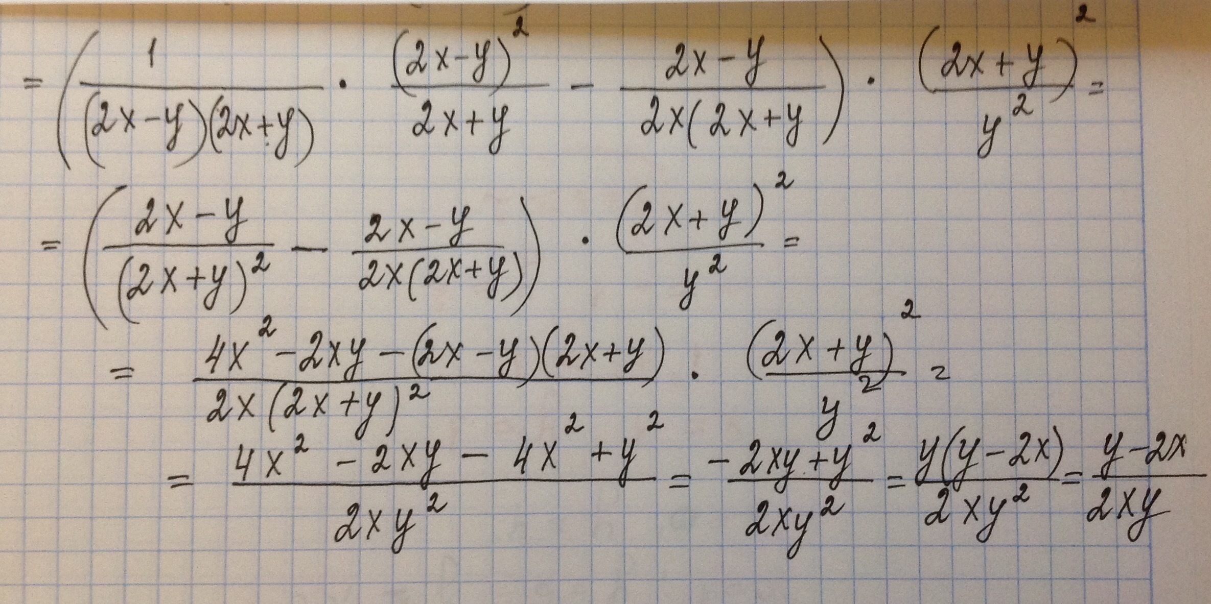
Вот решение. Как-то так)
Приложения:




Ответ дал:
0
В конце решения проверьте знаменатель дроби, на которую умножаете..
Ответ дал:
0
ок
Ответ дал:
0
Там в знаменателе по условию только (y+4)
Ответ дал:
0
3 фото
Ответ дал:
0
я поняла
Ответ дал:
0
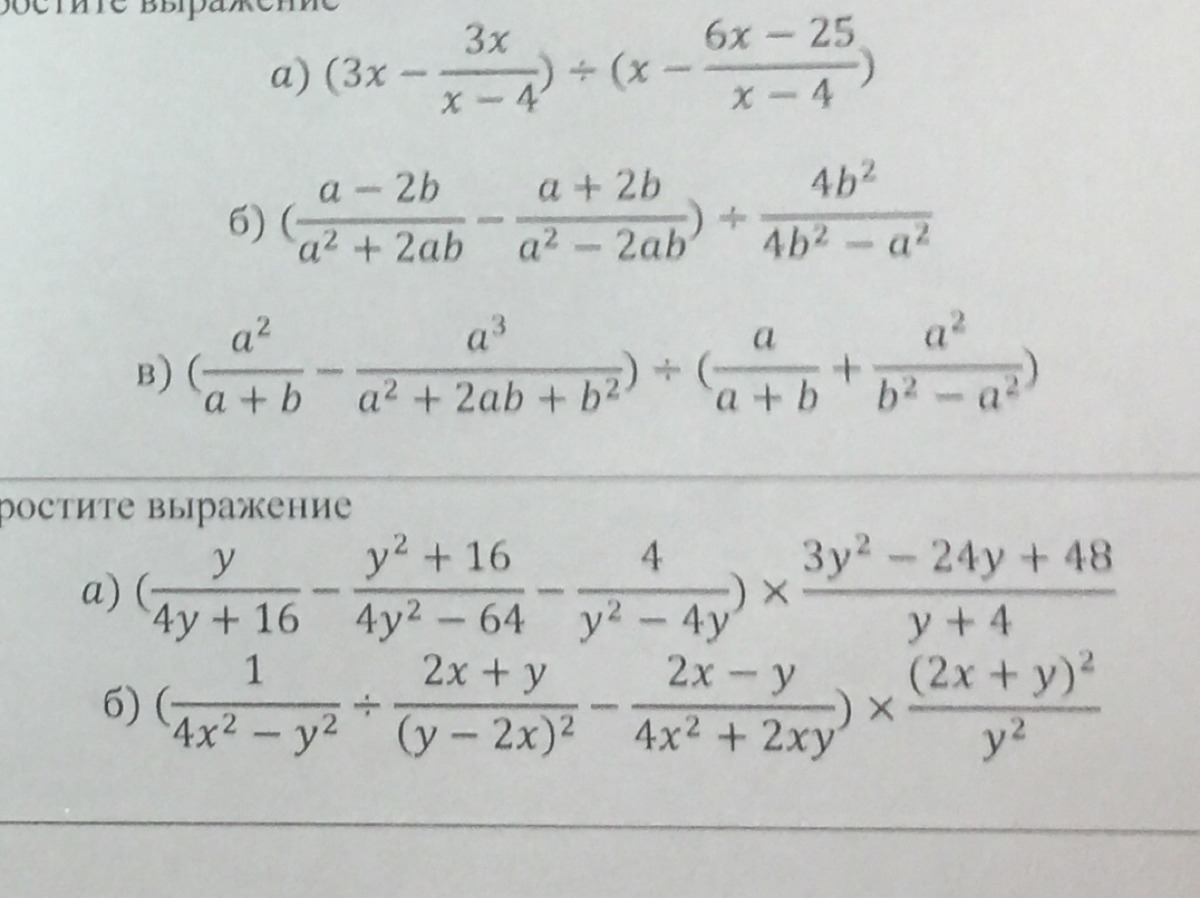
Ответ на фото////////////////////
Приложения:



Вас заинтересует
2 года назад
3 года назад
3 года назад
9 лет назад
9 лет назад