• Предмет: Математика
  • Автор: Ерофейка
  • Вопрос задан 8 лет назад

решите пожалуйста! Срочно

Приложения:

Ответы

Ответ дал: krolikzajcev
0

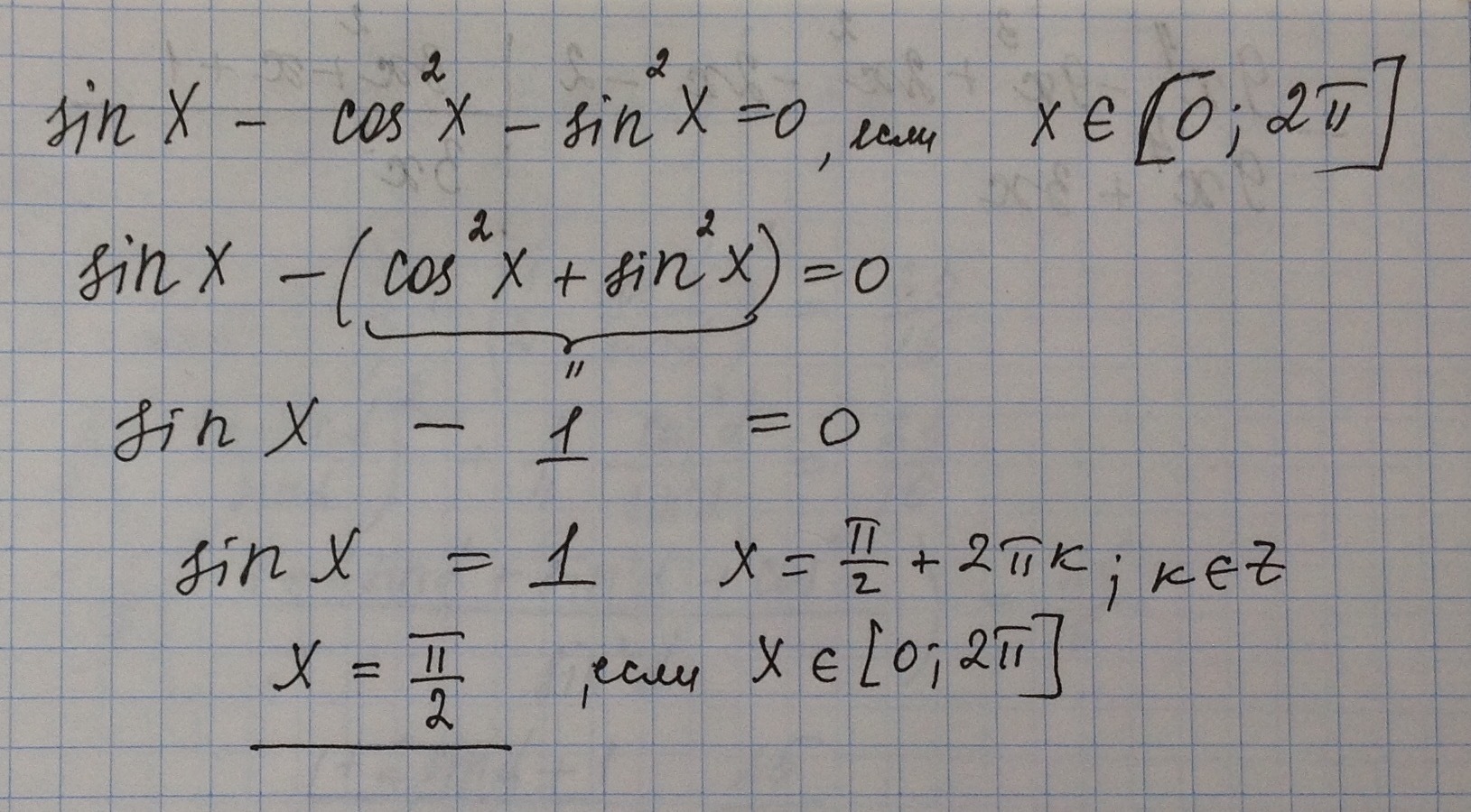
Второй и третий член левой части образуют основное триг.тождество. Получается уравнение

sin(x)=1

Из нужного промежутка только одно решение

х= пи пополам.

Ответ дал: Ерофейка
0
но ведь это не основное тригонометрическое свойство? должен быть +
Ответ дал: krolikzajcev
0
вынесите у них -1 за скобки и посмотрите на то, что получится в скобках.
Ответ дал: maksimcat
0

Ответ на фото//////////////////

Приложения:
Ответ дал: Ерофейка
0
Спасибо, подтвердили мои сомнения :)
Вас заинтересует