Ответы
Ответ дал:
0
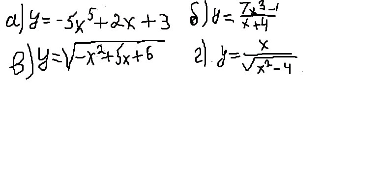
а) это парабола, ветви направлены вниз, она определена при любых значениях х.
б) в знаменателе х может принимать любые значения, в числителе все кроме х=-4, так как на 0 делить нельзя.
в)значение под корнем должно быть числом положительным. Разложив на множители рассмотрим два варианта когда оба множителя больше 0, и когда оба множителя меньше 0; в обоих случаях произведение больше 0.
г) здесь знаменатель не должен быть равен 0, и под корнем должно быть значение большее 0.
Приложения:

Вас заинтересует
2 года назад
3 года назад
9 лет назад
9 лет назад