Ответы
Ответ дал:
0
Вычислим длины сторон четырехугольника ABCD.
Вычислим длины сторон четырехугольника ABCD.
т.е. , значит АВСД - ромб
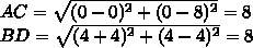
Вычислим диагонали ромба АС и БД
Если диагонали ромба равны, то этот ромб, являющийся прямоугольником, — это квадрат, значит, ABCD — квадрат. Что и требовалось доказать.
Приложения:


Вас заинтересует
3 года назад
9 лет назад
9 лет назад
9 лет назад