Ответы
Ответ дал:
0
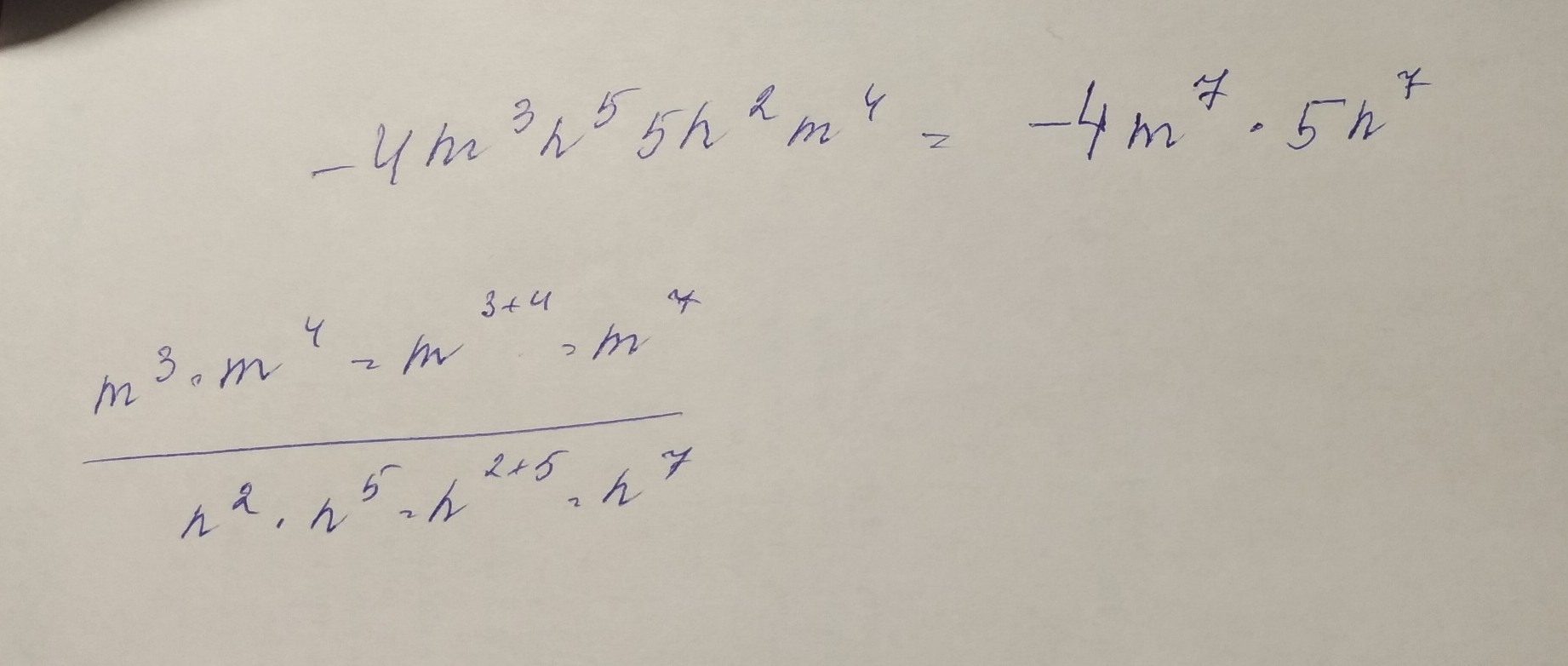
-4m^7*n^7 решение во вложении
Приложения:

Вас заинтересует
2 года назад
2 года назад
3 года назад
9 лет назад
9 лет назад