• Предмет: Алгебра
  • Автор: dimoooooon12
  • Вопрос задан 8 лет назад

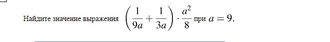
СРОЧНо помогите!!!!!!!!!!!

Приложения:

Ответы

Ответ дал: batya91
0
ответ 4/8 или 1/2)))
Ответ дал: ab228
0
нет
Ответ дал: ab228
0
ответ будет 0,5
Ответ дал: batya91
0
а у меня сколько
Ответ дал: ab228
0
смешно)
Ответ дал: vor0n0wair
0

(frac{1}{81} +frac{1}{27} )*frac{81}{8} =(frac{1}{81} +frac{3}{81})* frac{81}{8} =frac{4}{81} *frac{81}{8} =frac{1}{2}=0.5

Ответ дал: ab228
0
ответ будет 0,5
Ответ дал: batya91
0
а у меня скол
Вас заинтересует