• Предмет: Математика
  • Автор: david1715
  • Вопрос задан 8 лет назад

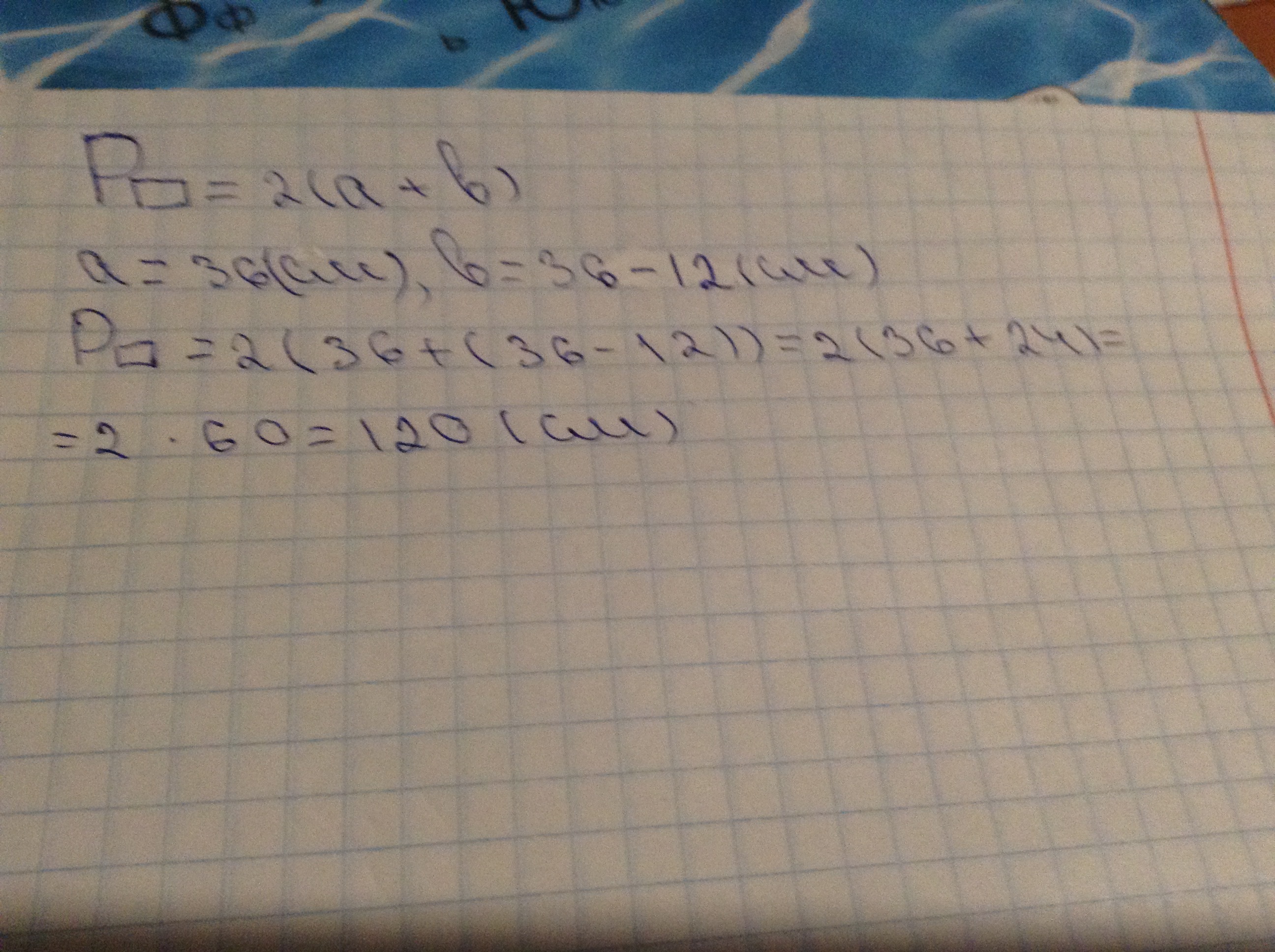
Довжина однієї сторони прямокутника 36 см, що на 12 см більше за довжину другої сторони Знайтить периметер прямокутника.

Ответы

Ответ дал: Аноним
0

Решение на листочке)

Приложения:
Ответ дал: david1715
0
Где?
Ответ дал: Аноним
0
Посмотри ещё раз
Вас заинтересует