• Предмет: Математика
  • Автор: AnyaDunyshina2004
  • Вопрос задан 8 лет назад

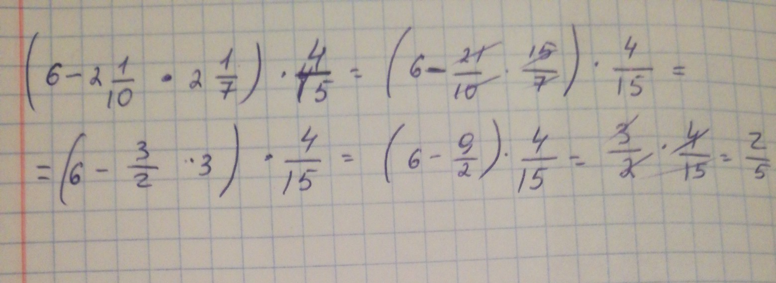
( 6 целых - 2 целых 1/10 * 2 целых 1/7) * 4/15 =

Ответы

Ответ дал: MikaMikula
0
Надеюсь,что помогла)
Приложения:
Ответ дал: kolobok22871
0
Неправильно. В скобках сначала умножение, потом уже вычитание.
Ответ дал: MikaMikula
0
Ну,как бы я сперва умножила,а потом вычла.
Ответ дал: MikaMikula
0
секунду, еще раз проверю
Ответ дал: AnyaDunyshina2004
0
Вообще-то все правильно
Ответ дал: MikaMikula
0
нет,всё правильно
Вас заинтересует