• Предмет: Математика
  • Автор: RazorArtem56
  • Вопрос задан 8 лет назад

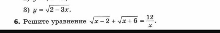
помогите решить уравнение

Приложения:

Ответы

Ответ дал: nikiigi
0
красиво нарисовал неправда ли я 5 класс откуда мне знать
Приложения:
Ответ дал: RazorArtem56
0
а зачем отвечать?
Вас заинтересует