Вынесите множитель из-под знака корня:
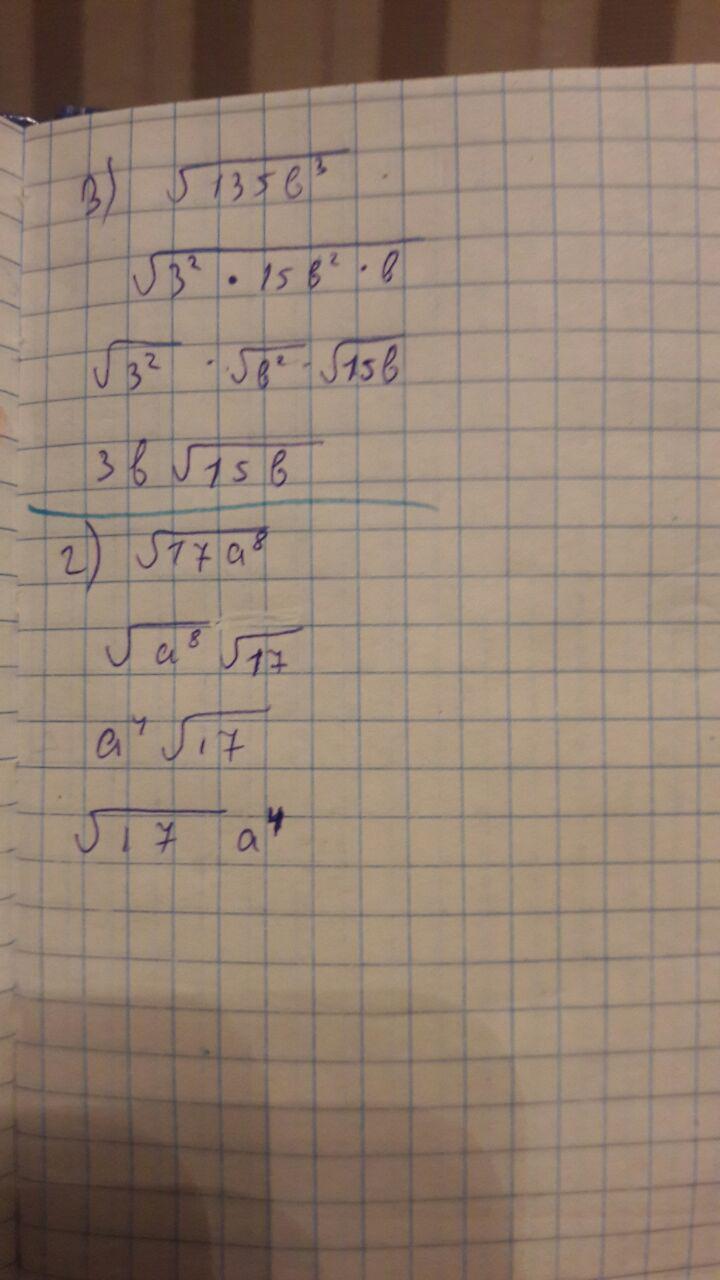
в)√135b³=
г)√17a⁸=
д)√18c², где c больше 0
е)√2b⁶, где b меньше 0
Ответы
Ответ дал:
0
вот , сделал )0)0 0 )
Приложения:

Ответ дал:
0
Так а чем это не подходит?? Ответ один и тот же
Ответ дал:
0
ГДЕ ОСТАЛЬНОЕ???
Ответ дал:
0
нету
Ответ дал:
0
ну вот
Ответ дал:
0
мне завтра сдавать это надо
Вас заинтересует
2 года назад
3 года назад
3 года назад
9 лет назад
9 лет назад
9 лет назад