• Предмет: Алгебра
  • Автор: dashykdasha
  • Вопрос задан 8 лет назад

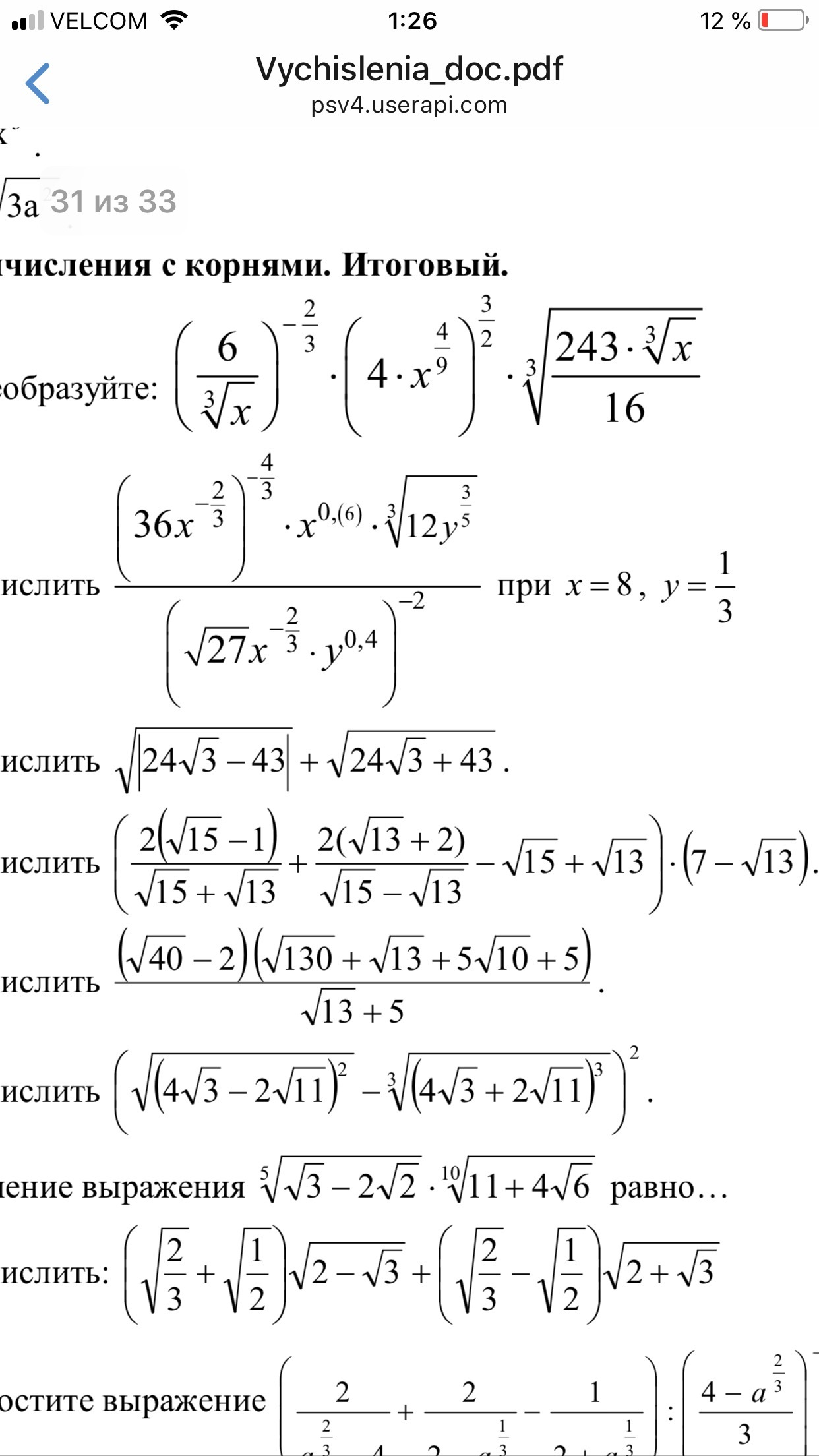
РЕБЯТ,ПОМОГИТЕ,ОЧЕНЬ СРОЧНО,ОДИН ПРИМЕР И НЕМАЛО БАЛЛОВ!!!!!!
ПРИМЕР,КОТОРЫЙ НАЧИНАЕТСЯ С 36х..........

Приложения:

Ответы

Ответ дал: valenivan
0

Посмотрите, решала тщательно, но проверьте.

Приложения:
Ответ дал: dashykdasha
0
Спасибо,просто в ответах написано,что должно получиться 1
Ответ дал: valenivan
0
Верный ответ у М11m. Сокращено верно и у меня и у него. Но я ошиблась, когда решала после подстановки.
Ответ дал: valenivan
0
Точно не 1. Посчитайте, только в хороших, программах и вам выдаст именно 0,27516060......
Ответ дал: valenivan
0
Я почему и написала, что проверить, так как ночью ответ не сходил я. Вот М11m решил и я увидела свою ошибку.
Ответ дал: dashykdasha
0
Большое вам спасибо!!))
Ответ дал: m11m
0

!!!!!!!!!!!!!!!!!!!!!!!

Приложения:
Ответ дал: dashykdasha
0
Спасибо за помощь,я тоже прорешивала несколько раз разными путями,но с ответом не сошлось-там написано,что получится 1
Вас заинтересует