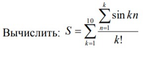
На C++, вычислить задачку

Приложения:

Ответы

Ответ дал: salima100
0

#include <iostream>

#include <math.h>

using namespace std;


int factorial(int n)

{

   if(n > 1)

       return n * factorial(n - 1);

   else

       return 1;

}


int main()

{

   double sum=0;

   double sumSin=0;

   for(int k=1; k<=10; k++ ){

       for(int n=1; n<=k; n++){

           sumSin+=sin(k*n);

       }

       sum+=sumSin/factorial(k);

   }

   cout << sum << endl;


   return 0;

}


Ответ дал: Gerry9
0
Подскажи какой у тебя компилятор?
Ответ дал: salima100
0
g++ 5.4.1 c++11
Ответ дал: hesed
0
Сочувствую.
Вас заинтересует