• Предмет: Математика
  • Автор: 180880m
  • Вопрос задан 8 лет назад

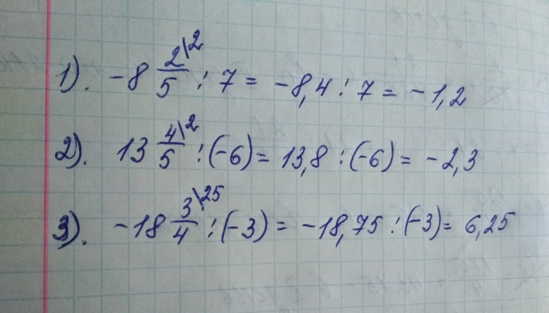
запишите смешанное число в виде десятичной дроби и выполните деление -8 2/5:7;13 4/5:(-6);-18 3/4:(-3).

Ответы

Ответ дал: nikol881
0
высылаю фото с решением
Приложения:
Вас заинтересует