• Предмет: Химия
  • Автор: Smile109
  • Вопрос задан 8 лет назад

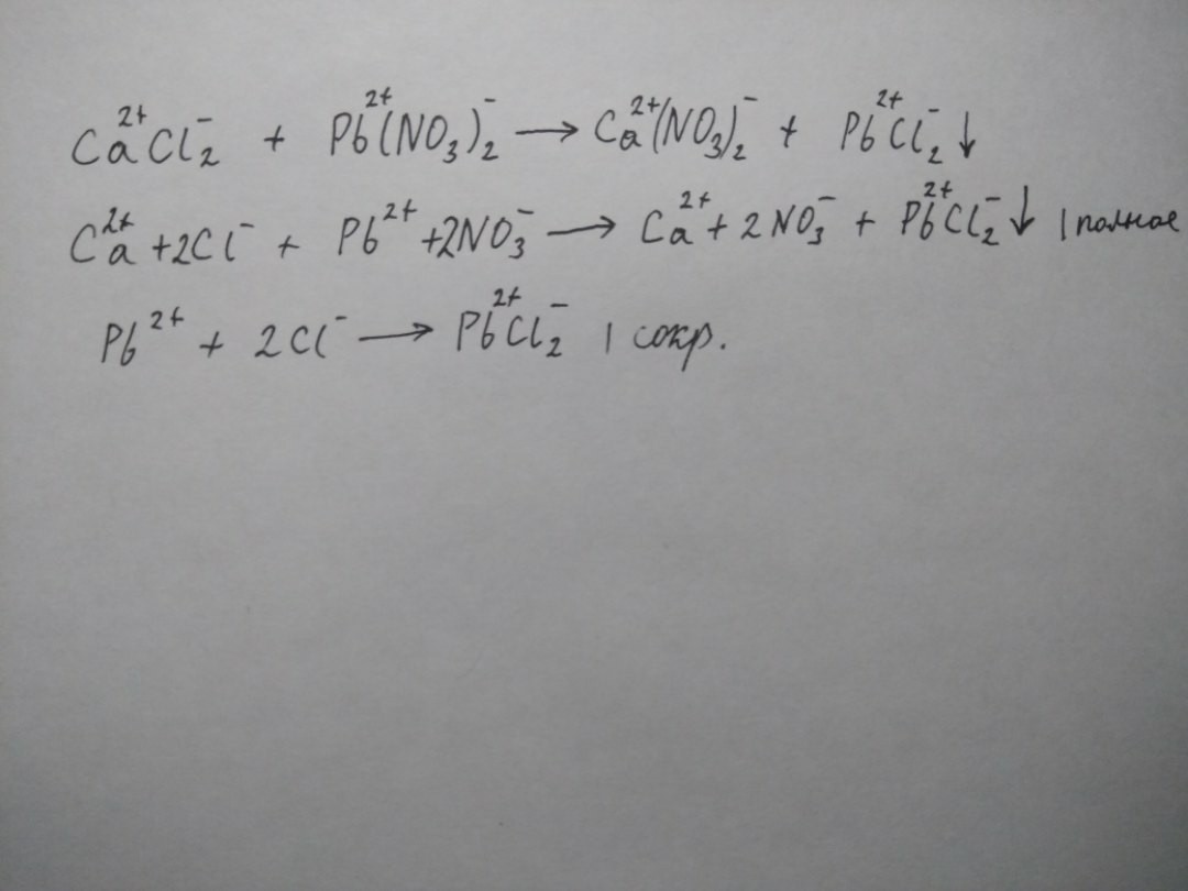
Составьте уравнение реакции в молекулярном,полном ионном и сокращённо ионном виде между CaCl2 и Pb(NO3)2

Ответы

Ответ дал: Сугубо
0

Образуется малорастворимый осадок - хлорид свинца.

Приложения:
Ответ дал: romanalikbaeva
0

Вот держи......................

Приложения:
Вас заинтересует