Ответы
Ответ дал:
0
решение задания смотри на фотографии
Приложения:

Ответ дал:
0
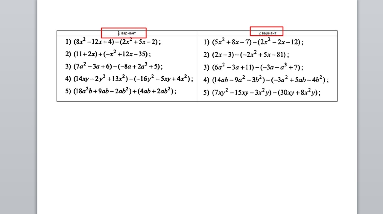
1 и 2 вариант,надеюсь все понятно
Приложения:


Вас заинтересует
2 года назад
2 года назад
3 года назад
3 года назад
9 лет назад
9 лет назад
9 лет назад