• Предмет: Математика
  • Автор: Аноним
  • Вопрос задан 8 лет назад

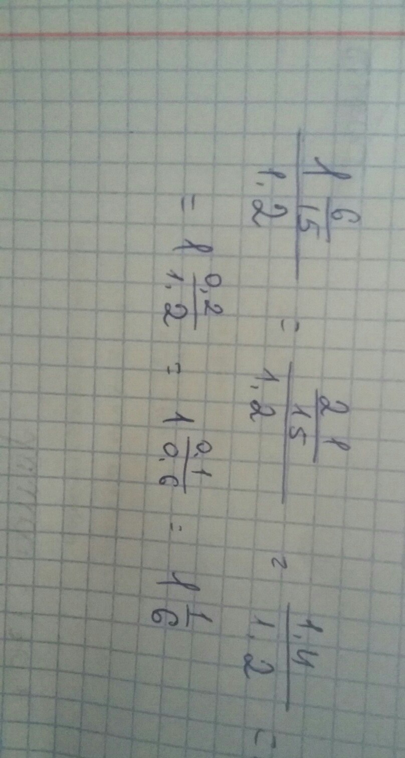
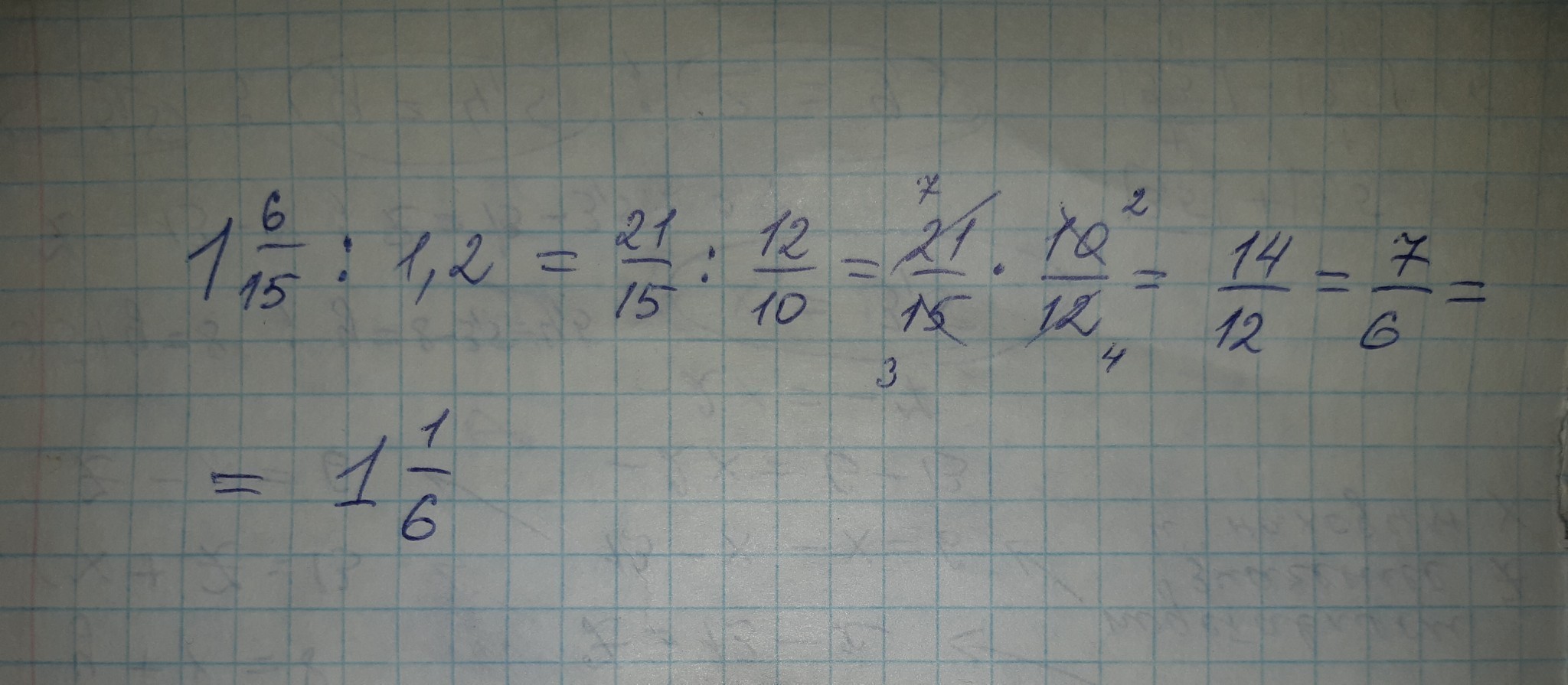
решите 1 целая 615 разделить на 1,2 с решением

Ответы

Ответ дал: lenok3781
0
________________________
Приложения:
Ответ дал: diana200048
0
здравствуйте с географией не поможете?
Ответ дал: Аноним
0
....................
Приложения:
Вас заинтересует