Ответы
Ответ дал:
0
угол А в кадр не вошел
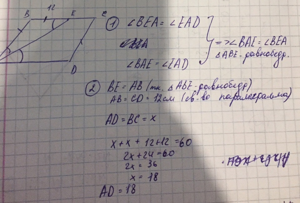
угол BEA = EAD (накрекст лежащие при параллельных прямых BC и AD и секущей AE)
удачи в жизни и учебе :)
Приложения:

Ответ дал:
0
Спасибо большое!
Ответ дал:
0
Можете пожалуйста ответить еще на два моих вопроса по геометрии?
Ответ дал:
0
Вот он
Ответ дал:
0
https://znanija.com/task/30333342
Ответ дал:
0
такой ссылки нет
Вас заинтересует
2 года назад
3 года назад
3 года назад
9 лет назад
9 лет назад
9 лет назад
9 лет назад