• Предмет: Химия
  • Автор: derfc2003
  • Вопрос задан 8 лет назад

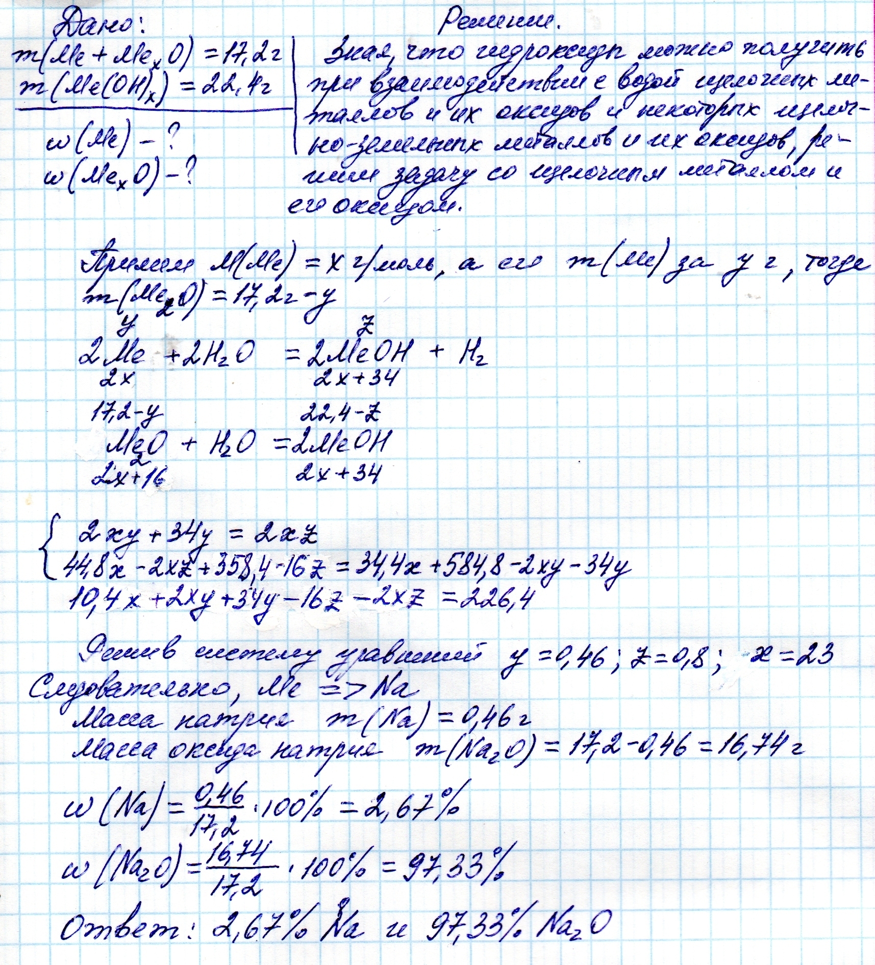
В результате взаимодействия 17,2 г смеси металла и его оксида с водой получилось 22,4 г гидроксида. Определите массовые доли металла и его оксида в исходной смеси.

Ответы

Ответ дал: mrvladimir2
0

...................................................................................................................

Приложения:
Вас заинтересует