• Предмет: Алгебра
  • Автор: asti02628
  • Вопрос задан 8 лет назад

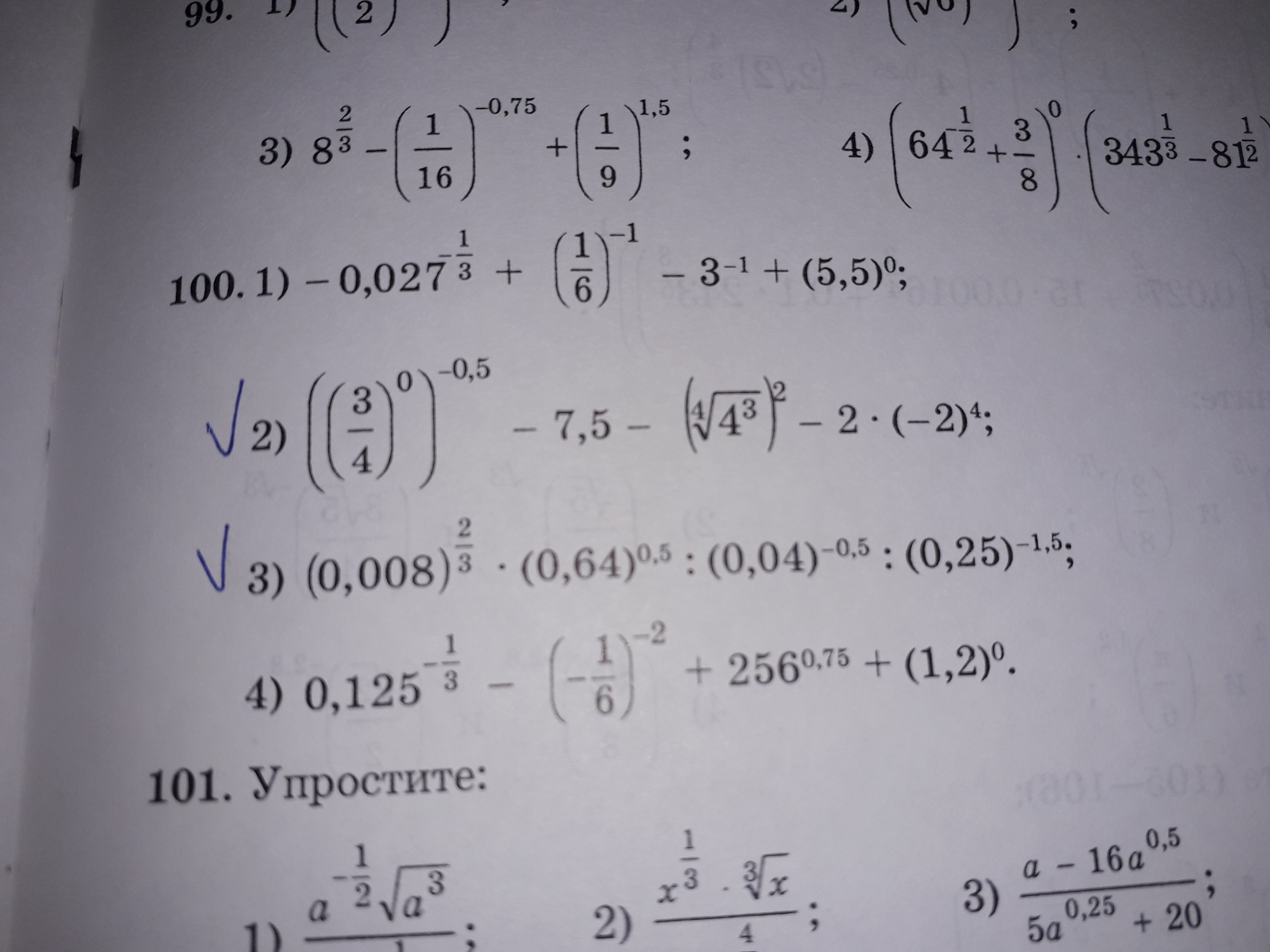
Номер 2 и 3 помогите

Приложения:

Ответы

Ответ дал: UniPie
0

2)

((frac{3}{4})^0)^{-0,5} - 7,5 - (sqrt[4]{4^3})^2 - 2*(-2)^4 = \ 1^{-0,5} - 7,5 - sqrt{4^3} - 2 * 2^4 \ 1 - 7,5 - 2^3-32 \1-7,5 - 8 - 32 = -46,5

Ответ: -46,5

3)

(0,0008)^{frac{2}{3}} * 0,64^{0,5} : 0,04^{-0,5} : 0,25^{-1,5} \\5^{-2} * (frac{16}{25})^{0,5} : (frac{1}{25})^{-0,5} : (frac{1}{4})^{-1,5}\\frac{1}{5^{2}} * frac{16^{0,5}}{25^{0,5}} : 25^{0,5} : 4^{-1,5}\\frac{1}{25} * frac{2^2}{25^{0,5}} * frac{1}{25^{0,5}}* frac{1}{4^{1,5}}\\frac{1}{25} * frac{1}{25^{0,5}}*frac{1}{25^{0,5}} * frac{1}{2} = frac{1}{1250}\\frac{1}{1250} = 1250^{-1} = 0,0008

Вас заинтересует