• Предмет: Алгебра
  • Автор: politerad
  • Вопрос задан 8 лет назад

решите плиииииииз сложнааа

Приложения:

Ответы

Ответ дал: JleHka
0

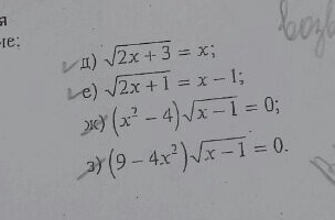
 sqrt{2x  + 3}  = x \ 2x + 3 =  {x}^{2}  \  {x}^{2}  - 2x - 3 = 0 \ x1 = 3 \ x2 =  - 1
 sqrt{2x + 1}  = x - 1  \ 2x + 1 =  {x}^{2}   - 2x + 1  \  {x}^{2}  - 4x =0  \ x(x - 4) = 0 \ x1 = 0 \ x2 = 4
Ответ дал: politerad
0
спасибо большое
Вас заинтересует