• Предмет: Химия
  • Автор: buranbaevramazan
  • Вопрос задан 8 лет назад

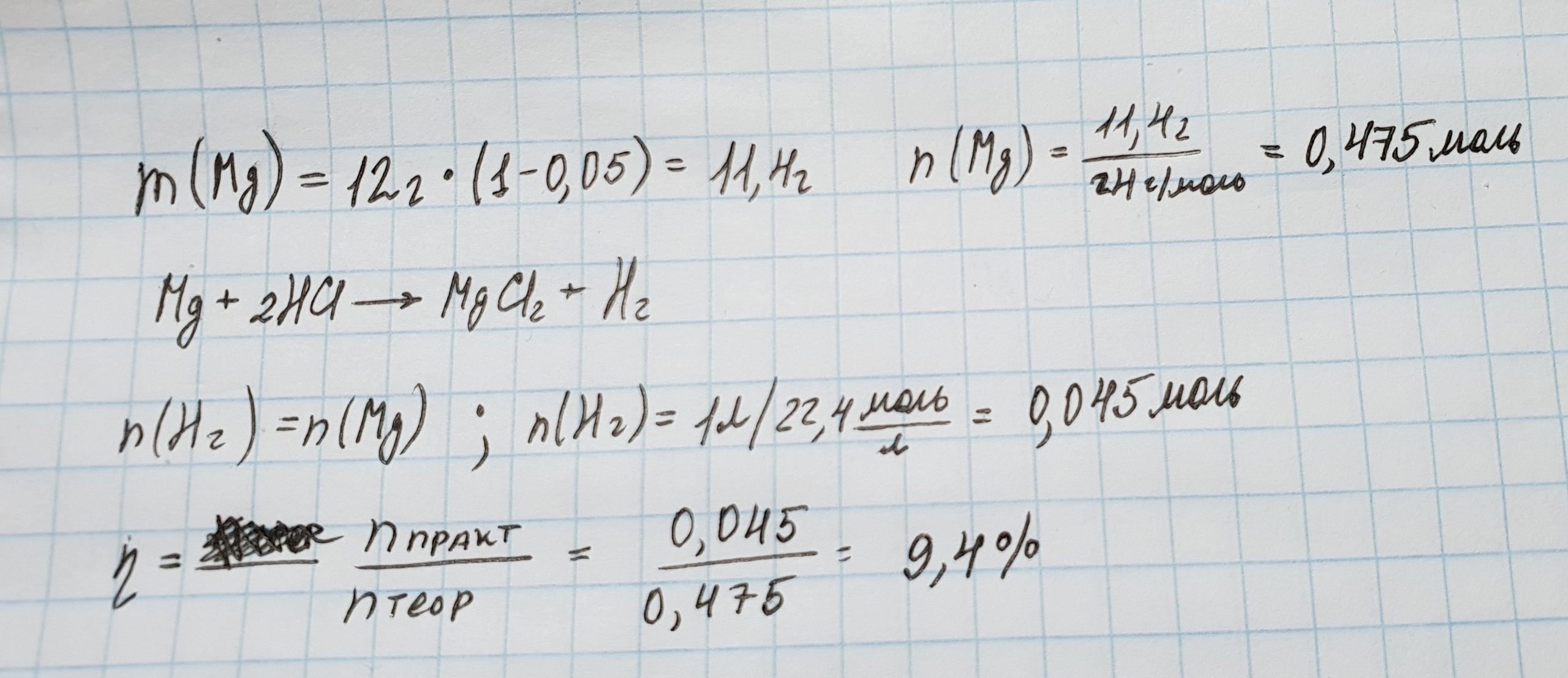
при взаимодействии 12 г Магния содержащий 5% примесей избыток соляной кислоты выделил 1 л Водорода (н.у) вычислите объем доли выхода продукта реакций

Ответы

Ответ дал: Kraken1912
0

Спрашивай, если есть вопросы

Приложения:
Вас заинтересует