• Предмет: Физика
  • Автор: net7748
  • Вопрос задан 11 лет назад

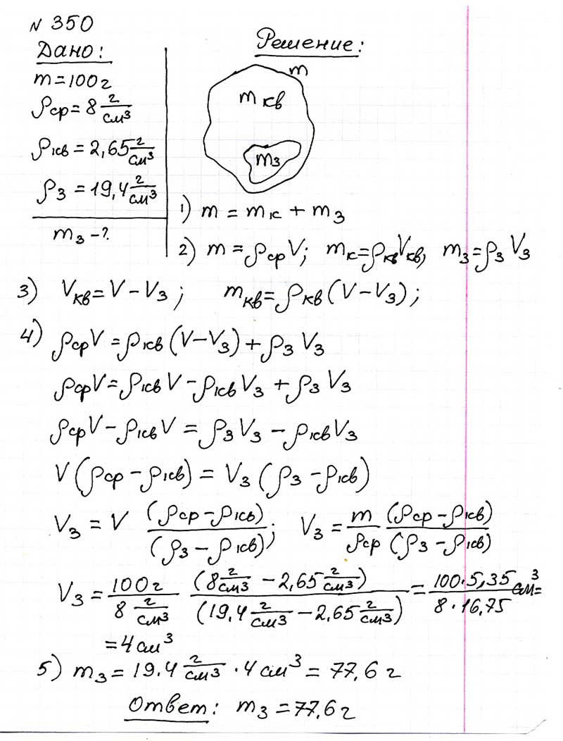
В куске кварца содержится небольшой самородок золота . масса куска равна 100г, его средняя плотность 8 г/см3. определите массу золота содержащегося в куске кварца, если плотность кварца 2,65г/см3, а плотность золота 19,4 г/см3,

Ответы

Ответ дал: Emerald23
0
это я нашла на сайте решени
Приложения:
Вас заинтересует