• Предмет: Алгебра
  • Автор: 7772237
  • Вопрос задан 8 лет назад

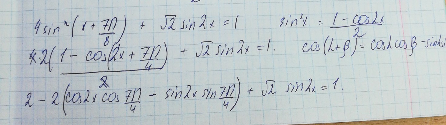
Решите уравнение
4sin^2(x+7п/8) + корень из 2 * sin2x = 1

Ответы

Ответ дал: mishadulov
0
Все решил, пользуйся на здоровье)
Приложения:
Ответ дал: 7772237
0
Слушай, хорош, уважаю. Лёгкий и понятный способ.
Ответ дал: mishadulov
0
Пожалуйста)
Ответ дал: lilyatomach
0

Ответ:

решение представлено на фото

Объяснение:

Приложения:
Вас заинтересует