Ответы
Ответ дал:
0
^ - это значек квадрата тоесть 25^2 это 25 в квадрате
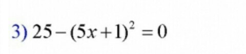
25-(25x^2+10x+1)=0
25-25x^2-10x-1=0
-25x^2-10x+24=0
D=100+2400=2500
x1=(10+50)/-50=60/-50=-6/5=-1,2
x2=(10-50)/-50=-40/-50=4/5=0,8
25-(25x^2+10x+1)=0
25-25x^2-10x-1=0
-25x^2-10x+24=0
D=100+2400=2500
x1=(10+50)/-50=60/-50=-6/5=-1,2
x2=(10-50)/-50=-40/-50=4/5=0,8
Ответ дал:
0
д?????
Вас заинтересует
2 года назад
2 года назад
3 года назад
9 лет назад
9 лет назад
10 лет назад
10 лет назад