• Предмет: Алгебра
  • Автор: annaKOTNK222
  • Вопрос задан 8 лет назад

Даю 50 баллов, ответьте на все, пожалуйста.
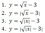
постройте график функции:

Приложения:

Ответы

Ответ дал: anelochka27
0
графики смотри в фото, нарисовала
Приложения:
Ответ дал: annaKOTNK222
0
Спасибо!)
Ответ дал: anelochka27
0
чуток добавила, посмотрите новое фото
Вас заинтересует