Ответы
Ответ дал:
0
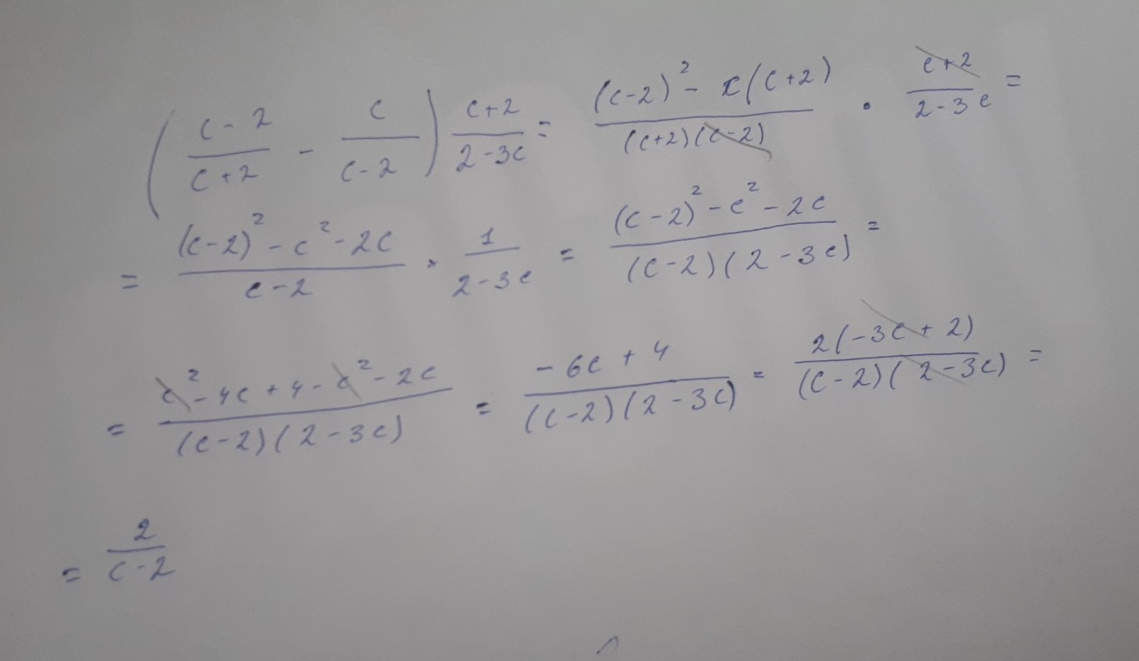
............................
Приложения:

Ответ дал:
0
.....................
Приложения:

Вас заинтересует
2 года назад
2 года назад
3 года назад
9 лет назад
9 лет назад
9 лет назад