Ответы
Ответ дал:
0
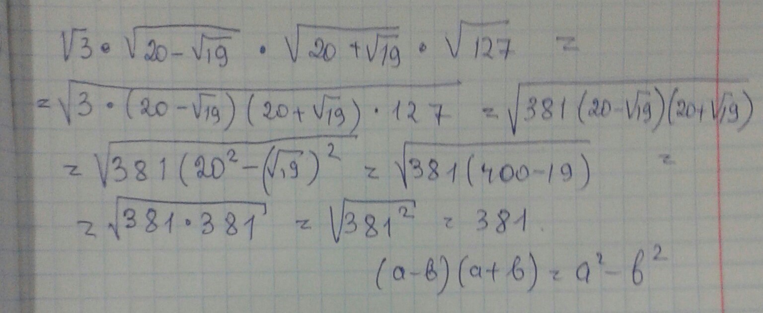
решение на фотографие
Приложения:

Ответ дал:
0
блин. Я при решении описался.только сейчас понял. спс что указал на ошибку)
Вас заинтересует
2 года назад
3 года назад
9 лет назад