• Предмет: Алгебра
  • Автор: gende066
  • Вопрос задан 8 лет назад

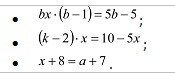
Решите уравнение относительно x

Приложения:

Ответы

Ответ дал: UniPie
0

1)\bx(b-1)=5b-5\x = frac{5}{b}\\3)\x+8=a+7 \x=a-1

Вас заинтересует