Ответы
Ответ дал:
0
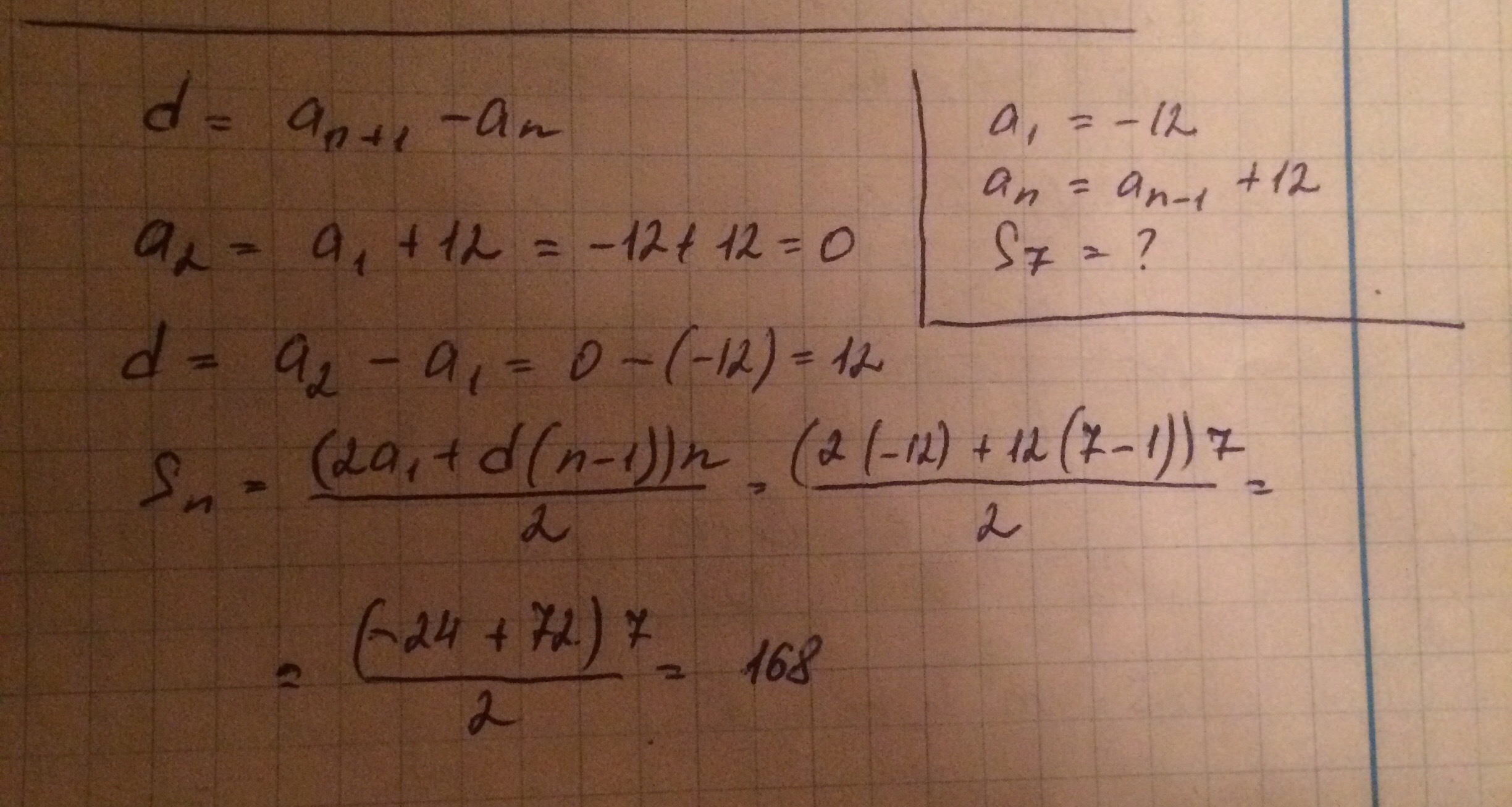
сначала найдём разность арифметической прогрессии d
затем второй член прогрессии
затем сумму первых 7 членов
Приложения:

Вас заинтересует
2 года назад
2 года назад
3 года назад
9 лет назад
9 лет назад
9 лет назад