• Предмет: Алгебра
  • Автор: ер93983змнш98
  • Вопрос задан 8 лет назад

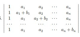
Помогите пожалуйста! Нужно найти n-ый определитель.

Приложения:

Ответы

Ответ дал: krolikzajcev
0

От каждой строки отнимаем первую. Получится определитель, у которого на главной диагонали стоят числа 1, b1, b2, b3 ...bn,  а над ней и под ней 0. Такой определитель равен произведению элементов главной диагонали, то есть

b1*b2*b3*...bn.

Вас заинтересует