3,8-1,5х+(4,5х-0,8)=2,4х+3
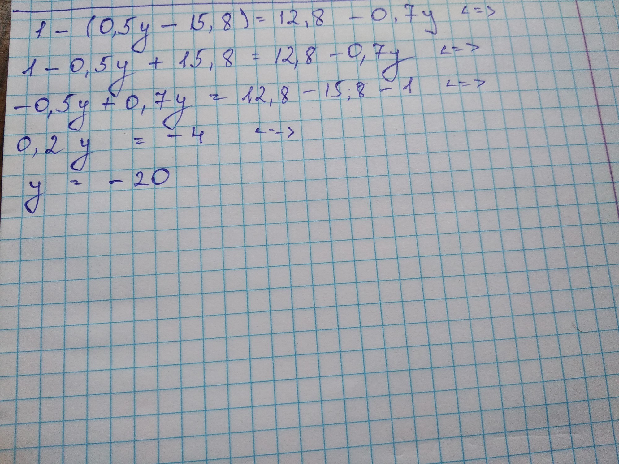
1-(0,5у-15,8)=12,8-0,7у
3,5у+0,8=5,5у-(1,2+0,8)-2,4
решите уравнения помогите пожалуйста заранее спасибо!!!
Ответы
Ответ дал:
0
Полное решение, а также ответ в прикрепленных материалах;
Приложения:
Вас заинтересует
2 года назад
2 года назад
3 года назад
3 года назад
9 лет назад
9 лет назад
10 лет назад