Ответы
Ответ дал:
0
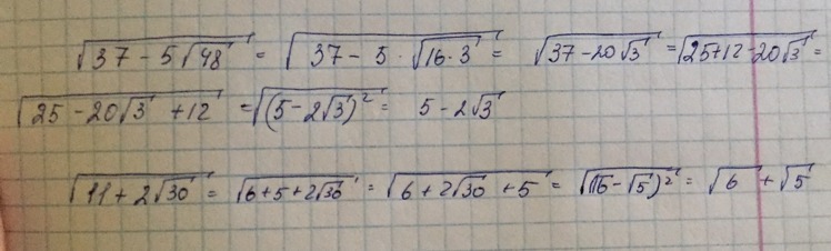
1) √(√6+√5)^2=√6+√5
2)√37-20√3=√(5-2√3)^2=5-2√3
2)√37-20√3=√(5-2√3)^2=5-2√3
Ответ дал:
0
Удачи в жизни и учебе :)
Приложения:

Вас заинтересует
2 года назад
3 года назад
3 года назад
9 лет назад
9 лет назад