Ответы
Ответ дал:
0
Надеюсь все понятно) на будущее
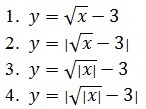
Если видишь функцию под модулем, все что находится ниже оси ОХ отзеркаливаешь относительно оси ОХ
Приложения:



Ответ дал:
0
Спасибо Вам большое! А то я тему проболела :) А по учебникам не очень-то понятно.
Вас заинтересует
2 года назад
2 года назад
3 года назад
3 года назад
9 лет назад
9 лет назад
9 лет назад