Пожалуйста, помогите!
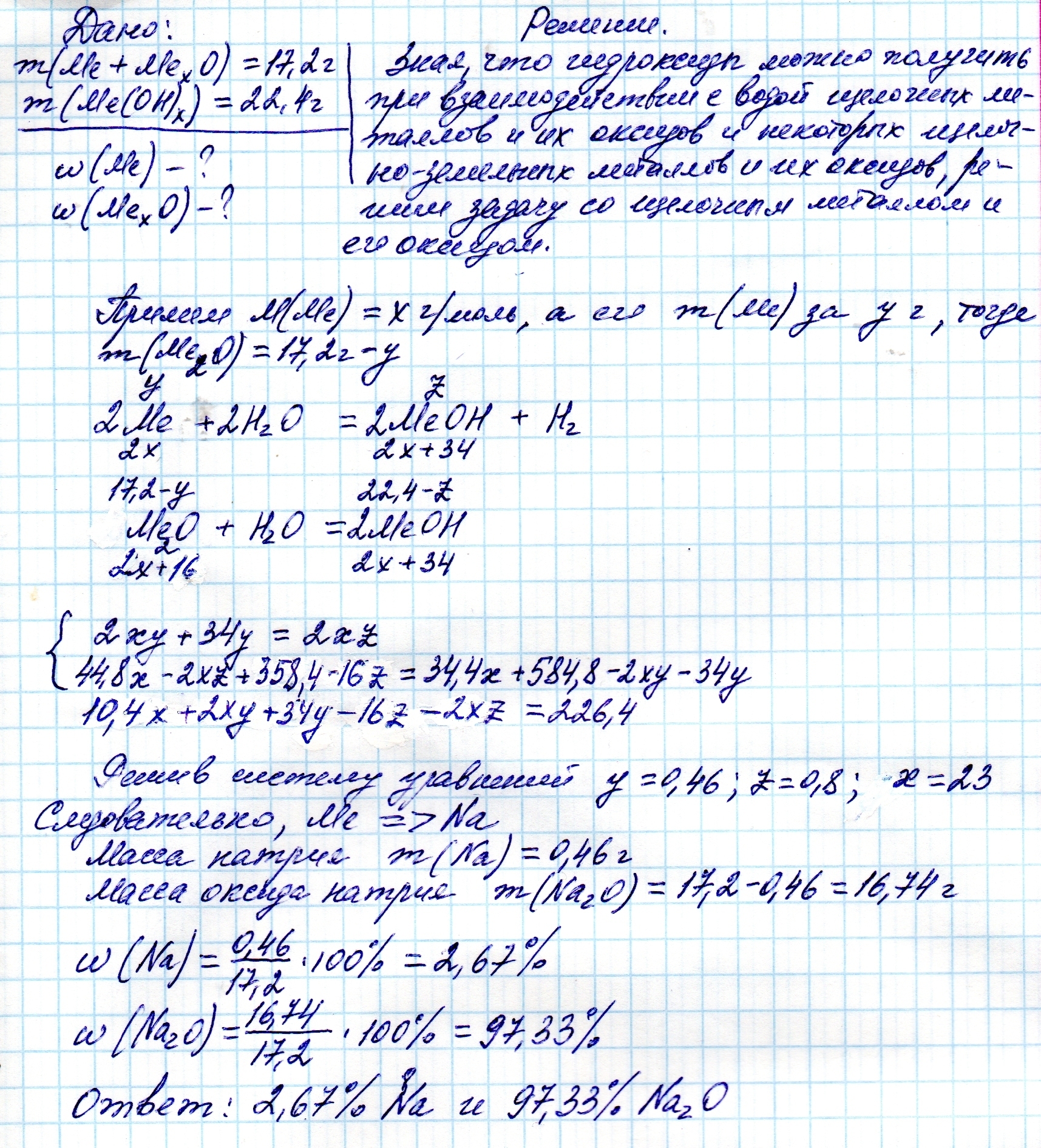
В результате взаимодействия 17,2г смеси металла и его оксида с водой получилось 22,4г гидроксида. Определите массовые доли металла и его оксида в исходной смеси.
(Желательно с решением)
Ответы
Ответ дал:
0
....................................................................................................
Приложения:

Вас заинтересует
2 года назад
2 года назад
3 года назад
9 лет назад
9 лет назад
9 лет назад