• Предмет: Алгебра
  • Автор: yuliyasnezhko04
  • Вопрос задан 8 лет назад

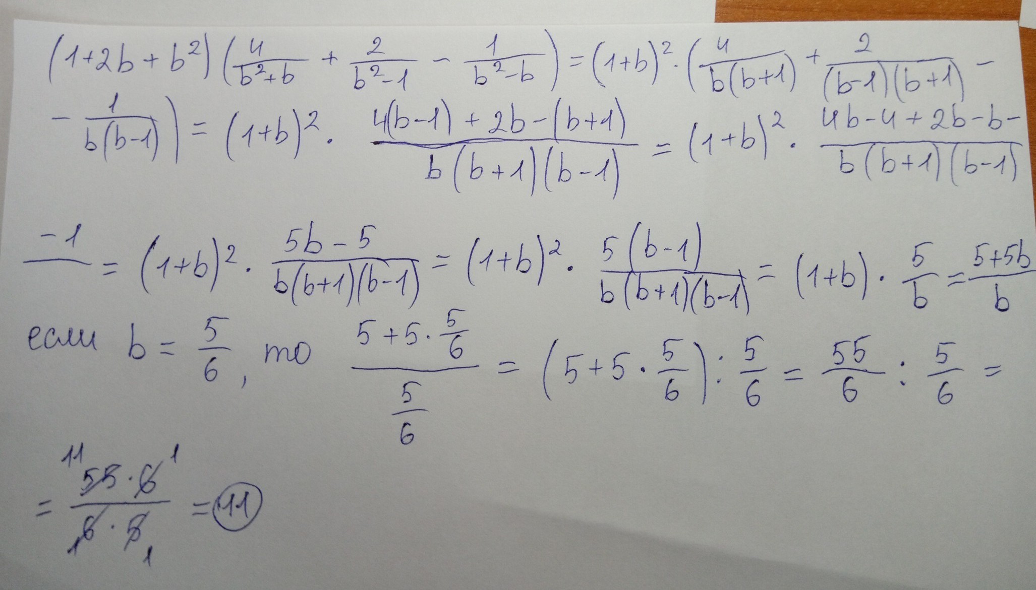
Помогите пожалуйста
Срочно
Алгебра,8 класс
Заранее спасибо

Приложения:

Ответы

Ответ дал: marina683
0
Надеюсь подчерк понятен))
Приложения:
Вас заинтересует