• Предмет: Алгебра
  • Автор: gznaniya
  • Вопрос задан 8 лет назад

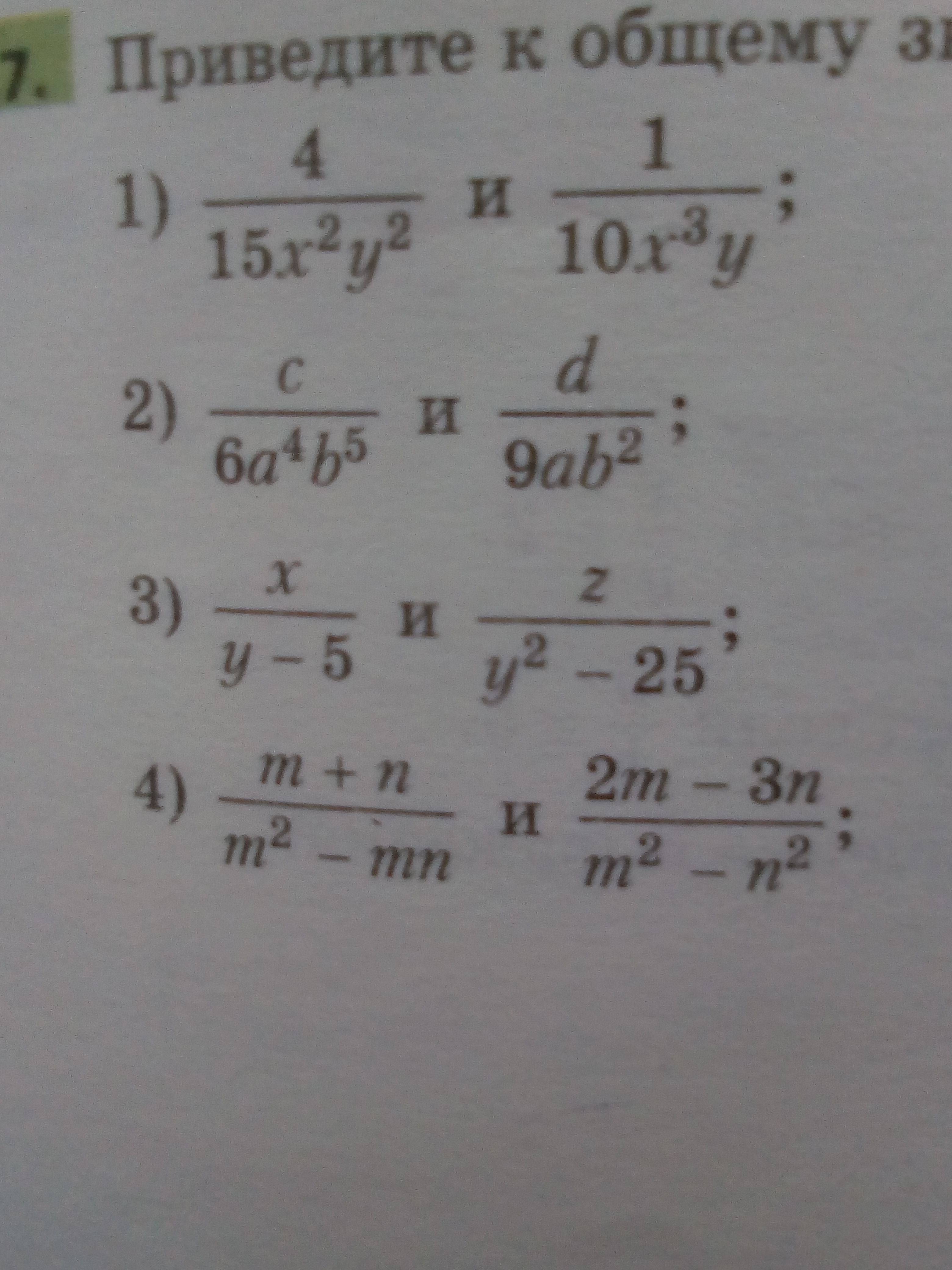
Привет, помогите с примером под номером 4. Нужно привести дроби у общему знаменателю

Приложения:

Ответы

Ответ дал: Аноним
0

m+n     и     2m-3n

m²-mn         m²-n²


m+n     и   2m-3n                ОЗ: m(m-n)(m+n)

m(m-n)       (m-n)(m+n)


(m+n )(m+n)     и    m (2m-3n)        

m(m-n)(m+n)          m(m-n)(m+n)


Вас заинтересует