Ответы
Ответ дал:
0
1. система - относительно плота.
скорость мальчика - 4м/4с = 1м/с
скорость плота - 0, так как он является точкой отсчета.
Путь мальчика - 4м.
Путь плота - 0м.
система - относительно берега.
скорость мальчика - 2.5м/с
скорость плота - 1.5м/с
путь мальчика - 10м
Путь плота - 6м.
Это при условии что мальчик и плот совешают движение в одном направлении.
2.Находим путь когда автомобиль ехал со скоростью 90км/ч 5 часов s=ut
s=450км
20м/с=72км/ч
также находим путь когда автомобиль ехал со скоростью 72км/ч 7 часов s=ut
s=504км
средняя скорость=весь путь/все время 954/12 =79,5км/ч.
3. Дано:
v1=5м/с
v2=20м/с
a=2,5м/с^2
v2=v1+at
t=v2-v1/a=20м/с-5м/с/2,5м/с^2=6
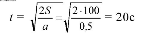
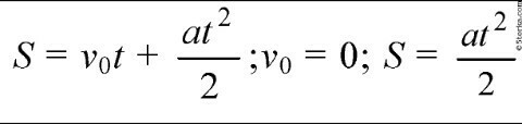
4.вверху фотки
скорость мальчика - 4м/4с = 1м/с
скорость плота - 0, так как он является точкой отсчета.
Путь мальчика - 4м.
Путь плота - 0м.
система - относительно берега.
скорость мальчика - 2.5м/с
скорость плота - 1.5м/с
путь мальчика - 10м
Путь плота - 6м.
Это при условии что мальчик и плот совешают движение в одном направлении.
2.Находим путь когда автомобиль ехал со скоростью 90км/ч 5 часов s=ut
s=450км
20м/с=72км/ч
также находим путь когда автомобиль ехал со скоростью 72км/ч 7 часов s=ut
s=504км
средняя скорость=весь путь/все время 954/12 =79,5км/ч.
3. Дано:
v1=5м/с
v2=20м/с
a=2,5м/с^2
v2=v1+at
t=v2-v1/a=20м/с-5м/с/2,5м/с^2=6
4.вверху фотки
Приложения:
Вас заинтересует
2 года назад
2 года назад
3 года назад
3 года назад
9 лет назад
9 лет назад
10 лет назад
10 лет назад