• Предмет: Алгебра
  • Автор: ratamahatta1
  • Вопрос задан 8 лет назад

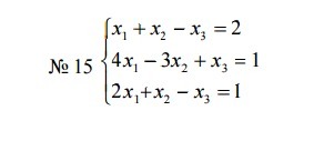
Уравнение методом Крамера

Приложения:

Ответы

Ответ дал: Cxhxhocohcpj
0
Приложение : Photomath
Приложения:
Вас заинтересует